フィボナッチ数列の一般項を漸化式から導き出された大人の生徒さん

久しぶりに当教室での授業の様子を紹介いたしますね。公開にあたり、ご本人様の許可は得ております。
半年と少し前に入門なさった大人の生徒さんです。中高時代に数学のできた生徒さんです。ご一緒に、高校の「数学Ⅲ」の教科書で学んでいます。私も、「数学Ⅲ」は、現役のころ学んでから(そのころの科目の名前は「基礎解析」だったかもしれませんが)、その15年後くらいに中高の教員として1回だけ教え、そのあとまた15年くらい触れていなかった教科書ですので、ご一緒に学ぶ姿勢で学んでおります。お互いに、大学の教養の解析学を目標としていますが、私は大学の教養の数学は、もっとブランクがありますので、ご一緒に学んで参りたいです。本日の記事は、高校までの知識がおありのかたにはお読みいただけます。
数列の極限を学んでいました。最後のほうに、フィボナッチ数列の、隣接する項の比がどこへ収束するか、ということが書いてありました。(「コラム」と書いてあるページです。)フィボナッチ数列についてはご存じのかたが多いと思いますが、つぎの条件によって定められる数列${\{a_n\}}$です。
$${a_1=1,a_2=1,a_{n+2}=a_{n+1}+a_n(n=1,2,3,\cdots)}$$
教科書には、証明ぬきで、一般項が紹介してありました。以下です。
$${a_n=\frac{1}{\sqrt{5}}\{(\frac{1+\sqrt{5}}{2})^n-(\frac{1-\sqrt{5}}{2})^n\}}$$
この式ですが、私がはじめて見たのは現役の高校生のときではありません。大学と大学院のときでもありません。数学者の夢破れて、30歳で中高の教員になったら徹底的に向いていなかった何年目か、その中高の数学の教員のあいだで話題になっていた『数学ガール』という本に出て来るのを見たときです。2009年、私が教員として4年目のときではないかと思います。ちょっと驚いたことを思い出します。フィボナッチ数列はその漸化式による定義から、自然数の値しか取らないとわかるわけですが、一般項の式はとても複雑だったからです。しかし、${n}$にいくつかの値を代入してみますと、正しいことがわかります。そこで、その年に数列を授業で教えていた私は、数学的帰納法の定期テストで、この一般項を与えて、これを数学的帰納法で証明する問いを思いつきました。結果としてその問いは出題しませんでしたが、確かに、いかに一般項が複雑でも、ひとたび与えられていれば、それを証明することはたやすかったりするものです。数学の「証明」と「発見」の違いです。これは、たとえば2次方程式の解の公式についても言えます。導出できなくても、それが2次方程式の解になっていることを確かめることはできます。(そして、2次方程式が高々2つの解しか持たないことを使えば、それで2次方程式の解の公式の証明としては十分になります。)
それから、また長い年月が過ぎ、仕事を失って、この星くず算数・数学教室がまわるようになってから、ある生徒さんに、数学的帰納法の強力さを示したくて、思いついた例のひとつが、この「フィボナッチ数列の一般項を与えて、それで正しいことを数学的帰納法で示すこと」でした。それはブログ記事にしたこともあります。最後にリンクをおはりしますね。
それで、ようやく、このたびの生徒さんの話に戻ります。この生徒さんにも、この問いを宿題としてお出ししました。次の回のことです。その生徒さんは、私からみてびっくりするような解答を書いて来られたのです。
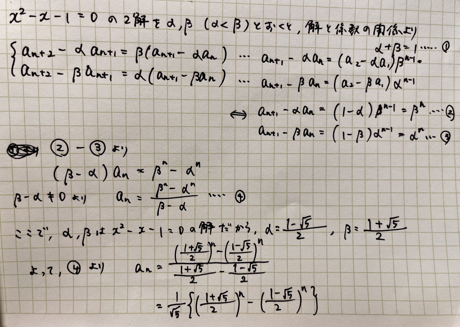
以下のようです。とてもよく書けているノートですので、その生徒さんが送ってくださったそのものをここにはりますね。
.jpg)
なんと、数学的帰納法で証明したのではなく、数列の教科書(「数学B」)に載っている、隣接3項間の漸化式の一般項の求め方に忠実に導出されたのです!私は、これは初めて見たと思います!
しかし、じつは初めて見るものではなかったのです。隣接3項間の漸化式というものは、いま述べました通り、数列の教科書(「数学B」)に載っています。教員時代、先述の通り、数学Ⅲは15年くらい前に1回やっただけですが、数学Bは何度か経験があり、数列という単元はだいぶ教科書の見通しがついていました。私も教えたことがあります。ですから、知っていたのですが、以下のことがあります。
漸化式とは興味深いものです。いま、数列の教科書を見てみますと、「数列」という単元は2つの節からなっており、「数列とその和」「数学的帰納法」となっています。この数学的帰納法のほうに、漸化式は含まれています。帰納的に数列は定義されるわけですね。じつは、等差数列も、等比数列も、もともとは帰納的に定義されています。「数列 ${a_1,a_2,a_3,\cdots,a_n,\cdots}$において、各項に一定の数${d}$を加えると、次の項が得られるとき、この数列を等差数列といい、${d}$をその公差という」と書かれています。そのつぎに「このとき、すべての自然数${n}$について、次の関係が成り立つ。${a_{n+1}=a_n+d}$ すなわち ${a_{n+1}-a_n=d}$」と書かれています。等差数列は漸化式で定義されるものでした。等比数列については以下のように書かれています。「一般に、数列 ${a_1,a_2,a_3,\cdots,a_n,\cdots}$ において、各項に一定の数${r}$を掛けると、次の項が得られるとき、この数列を等比数列といい、${r}$をその公比という」とあり、続いて「このとき、すべての自然数${n}$について、次の関係が成り立つ。${a_{n+1}=a_n r}$ 特に、初項${a_1}$も公比${r}$も${0}$でないとき、${\frac{a_{n+1}}{a_n}=r}$である」と書かれています。等比数列も帰納的に定められていました。
そして、漸化式の説明があったのち、教科書の関心は、漸化式で定められる数列の一般項を求めることに向かいます。そのなかでまず、先述の、${a_{n+1}=a_n+d}$で定められる数列は等差数列であること、${a_{n+1}=a_n r}$で定められる数列は等比数列であることが書かれています。それは上述のように、同じことの繰り返しであり、等差数列の一般項、等比数列の一般項を漸化式から求めることは、直感に頼っていますので、ここはよく観察すると議論が堂々巡りをしています(以前、等差数列をご一緒に学び、等差数列の定義からいきなり等差数列の一般項に教科書の記述が向かうことに違和感を示された生徒さんがおられ、それで私も、そこにはギャップがあることを初めて認識したということがありました。なにごとも勉強ですね)。そのつぎに、教科書は「${a_1=3,a_{n+1}=a_n+2^n}$」で定められる数列の一般項を求める例題を載せています。階差数列の一般項がわかる場合、もとの数列の一般項が計算できる場合があるわけです。そのつぎに教科書は、「${a_1=1,a_{n+1}=3a_n+2}$」という条件で定められる数列の一般項を求める方法を載せています。これは、ずらすと等比数列になるタイプです。
このつぎ、教科書は「${n}$本の直線によって平面は最大でいくつの部分に分割されるか」という問いを載せ、漸化式から一般項を求める例題としています。このあいだに、少なくとも私の勤めていた学校の先生がたは、もっと多くの「漸化式を解く」(=漸化式から一般項を求める)やり方を説明していました。おそらく、多くの、学校で数列を習った皆さんも、これ以外に、たくさんの「漸化式を解くやり方」を習ったのではないかと思います。私も現役のときはやりました。そして、大学と大学院で落ちこぼれ、中高の教員となって漸化式を教える立場になったときも、教えざるを得ませんでした。同僚の先生では「漸化式の解法 完全版」という何枚にも及ぶプリントを作って配布する先生もおられました。私ももらいましたが、およそ20通り以上もの漸化式を解くやり方のパターンが網羅されていました。
これは、受験テクニックの極められるひとつの箇所であり、このように張り切るタイプの先生がおられる一方で、私は苦手としており、教科書に書いてある、先ほど私が書いたタイプのみを教えていました。それでは大学入試の即戦力にならないと思う多くの先生は、いろいろ教えておられたのであろうと思います。私が現役の高校生であったころ、数学で苦手だったものが2種類あり、ひとつがこの複雑すぎる漸化式を解くことであり、もうひとつが複雑すぎる積分を計算することでした。いま考えると、受験テクニックが跋扈するところですね。私は、現役高校生のころ、複雑すぎる漸化式の場合は、予測して数学的帰納法に持ち込んでいました。そのやり方も習いますが、そのほうがやさしいことも多いからです。そこで、この生徒さんにも(ようやく本日の生徒さんの話に再び戻りました)、フィボナッチ数列を定義する漸化式をお見せし、一般項をお見せし、数学的帰納法で証明するような宿題を出させていただいた次第ですが、先述の通り、この生徒さんは、数列の教科書のもう少し先に載っている、隣接3項間の漸化式の解き方で解いて来られたわけでした。
私も、教科書に載っているからには隣接3項間の漸化式の解き方も教えざるを得ませんでした。そのほか、教科書に載っているものとしましては、「2つの数列の漸化式」と「確率と漸化式」があります。後者は、私が教員であるころ、載っていなかったものです。私には受験テクニックにしか思えません。(教員時代、「確率と漸化式」の入試問題の最初の出典を調べたことがあります。1960年代くらいの東大の入試問題でした。いまの「確率と漸化式」が入試のいわば定番となった時代からすると素朴な問題でしたが、はじめて見た人がこれを解くのは知恵が必要だったことでしょう。)これらは、すべて受験テクニックであると判断して、当教室では飛ばすことがほとんどでしたが、このたび、認識を改める必要があると思わされました。隣接3項間の漸化式を解く方法が、フィボナッチ数列の一般項を求めることに役立つなら、学ぶ価値はある!
その生徒さんが、このノートを書いて来られたときは、思わず「受験テクニックで解かれましたね?」と聞いてしまいました。失礼しました。その生徒さんは、高校生だったときに習った方法を覚えておられ、それで解いて来られたのでした。すごいと思います。勉強になります!
先に述べましたように、私が現役の高校生であったころ、苦手だったものとして、複雑すぎる漸化式を解くことと並んで、複雑すぎる積分をすること、がありました。大学に入ると、複雑な微分方程式を解くことも入るかもしれません。この生徒さんとは、ご一緒に「数学Ⅲ」の教科書を読み進めています。いずれ、テクニカルな積分も出て来るはずだと思っています。その日を楽しみに、ご一緒に少しずつ学んで行きたいと願っています。
本日の記事は長かったですね。ここまでお読みくださり、ありがとうございました!
(最後に、フィボナッチ数列の一般項が上に書いたようになることを、数学的帰納法で示したブログ記事のリンクをはりますね。)

